ТОП-15 онлайн-школ для изучения китайского языка

17 октября 2025, 02:43
0

ТОП-15 онлайн-школ для изучения китайского языка

Знание языка открывает новые карьерные перспективы и помогает развивать бизнес.
ТОП-15 онлайн-школ для изучения китайского языка

Статья обновлена 16 октября 2025 года. Image by freepik

Среди россиян китайский язык стал одним из самых популярных для изучения. Изучить язык можно на онлайн-курсах.

Знание китайского языка даёт преимущество при трудоустройстве — зарплаты специалистов на 18–20% выше. Китай занимает второе место в мировой экономике и развивает отношения с нашей страной, поэтому специалисты со знанием языка будут востребованы. Собрали языковые курсы с разными форматами обучения, стоимостью и длительностью.

ТОП-10 онлайн-школ по китайскому языку для взрослых 

  1. NovaSpeak: составляют программу под цели и запросы слушателя, а на бесплатном пробном уроке дарят до девяти занятий.
  2. Mandarin Schoolобучают по программе международного китайского университета и помогают организовать обучение в Шанхае, Пекине, Аньшане и Сюйчжоу.
  3. DiveLangуроки в мини-группах по интерактивным учебникам, есть индивидуальные занятия и самостоятельный тариф с гибким графиком и удобным темпом.
  4. Anecoleиндивидуальные уроки с практикой разговорной речи на первых занятиях, участникам дают доступ к дополнительным материалам и разговорному клубу.
  5. TopChineseуроки на интерактивной платформе с носителем языка, которые ведёт занятия из Китая.
  6. Slovo-edкурсы по университетской и школьной программе с преподавателями из вузов страны или носителями языка.
  7. Yesобучают взрослых и детей от трёх лет по коммуникативной методике, график обучения можно подстраивать под себя.
  8. Chilan: индивидуальное пробное занятие проведут по сниженной цене и подарят дополнительные материалы для изучения языка.
  9. «Белый кролик»: первое занятие проведут бесплатно, а длительность последующих можно выбирать самостоятельно, есть скидки при единовременной оплате.
  10. Skyford: разные программы для начинающих, экспресс-курсы, подготовка к тестам и международным экзаменам.

Рейтинг 15 лучших онлайн-школ для изучения китайского языка

Выбор языковой онлайн-школы зависит от целей: бизнес, учёба или путешествия. В подборке есть варианты обучения для разных задач. А ещё есть курсы с групповыми или индивидуальными уроками, с носителями языка или русскоговорящими преподавателями. 

1. NovaSpeak

В онлайн-школе предлагают курсы для начинающих, продолжающих, взрослых, детей с семи лет и подростков, а также уроки с носителем языка. Занятия проходят индивидуально с преподавателем по 25, 50 или 75 минут. Программу составляют по целям и запросом участников. 

Школа гарантирует повышение уровня языка, а если улучшения не произойдёт, то педагоги проведут дополнительные занятия бесплатно. 

Image by freepik

  • 5,0 — рейтинг школы на основе отзывов на сайте yandex.ru
  • Цена полностью: от 795 рублей за занятие.
  • Цена в рассрочку: по запросу.
  • Длительность: урок от 25 минут.
  • Порог входа: с нуля.
  • Формат: индивидуальные онлайн-уроки на платформе школы.
  • Документ об окончании: сертификат.

Достоинства:

  • Беспроцентная рассрочка до 10 месяцев.
  • Бесплатный вводный урок.
  • На вводном уроке можно получить до девяти уроков в подарок.
  • У школы есть лицензия на образовательную деятельность.

Недостатки:

  • Слушатели отмечают в отзывах нестабильное интернет-соединение во время занятий.

➜ Выбрать курс 

2. Mandarin School

Научат говорить, читать и писать на китайском языке по системе бережливого обучения Пекинского университета языка и культуры. Уроки обогащены дополнительными мультимедийными материалами: фильмами, песнями и видео. 

Формат доступен как дистанционный, так и очный, с опциями заморозки курса или перехода в другую группу. Пропущенные очные уроки доступны в записи. 

Image by freepik

  • 4,4 — рейтинг школы на основе отзывов на сайте gdekurs.ru
  • Цена полностью: от 1200 рублей за урок.
  • Цена в рассрочку: нет.
  • Длительность: от 1 месяца.
  • Порог входа: с нуля.
  • Адрес и телефон: г. Москва, Старый Толмачевский пер., д. 3, 8 (499) 955-59-91.
  • Формат: онлайн-уроки в Zoom или очные занятия в школе.
  • Документ об окончании: сертификат.

Курсы:

Достоинства:

  • Возможна оплата материнским капиталом и оформление налогового вычета 13%.
  • Программа одобрена Министерством образования.
  • Школа сотрудничает с университетами в Шанхае, Пекине, Аньшане и Сюйчжоу и помогает студентам заключить договор на платное обучение с вузами.
  • При полной оплате годичного курса не нужно покупать дополнительные учебники.

Недостатки:

  • При оплате годичного курса частями нужно покупать учебники самостоятельно.

➜ Выбрать курс 

3. DiveLang

Занятия проводятся в разных форматах: в небольших группах до 8–10 человек, индивидуально с преподавателями или самостоятельно на интерактивной платформе школы. Для студентов каждую неделю организуются бесплатные разговорные клубы, где можно практиковать язык в неформальной обстановке.

Image by freepik

  • 5,0 — рейтинг школы на основе отзывов на сайте yandex.ru
  • Цена полностью: от 1250 рублей за занятие.
  • Цена в рассрочку: нет.
  • Длительность: от 1 месяца.
  • Порог входа: с нуля.
  • Формат: онлайн-занятия с преподавателем в мини-группе или индивидуально, практические задания.
  • Документ об окончании: сертификат.

Курсы:

Достоинства:

  • Бесплатный пробный урок.
  • Уроки доступны на компьютере, ноутбуке, телефоне и планшете.
  • Преподаватели с лингвистическим или педагогическим образованием и опытом работы не менее трёх лет.
  • Слушатели обучаются с помощью интерактивных тренажёров.

Недостатки:

  • Участники в отзывах отмечают сбои в работе платформы при обучении на компьютере.

➜ Выбрать курс 

4. Anecole

В школе изучают не только язык, но и культуру страны. Преподаватели поддерживают на протяжении всего обучения, а обратную связь дают после каждого урока. Программу подбирают под цели слушателя: подготовка к путешествиям, карьерный рост, сдача экзаменов или личное развитие. Предоставляют доступ к дополнительным материалам и разговорному клубу.

Image by freepik

  • 4,6 — рейтинг школы на основе отзывов на сайте sravni.ru
  • Цена полностью: от 1190 рублей за урок.
  • Цена в рассрочку: от 4000 рублей в месяц.
  • Длительность: от 8 уроков.
  • Порог входа: с нуля.
  • Формат: индивидуальные уроки онлайн.
  • Документ об окончании: сертификат.

Курсы:

Достоинства:

  • Пробный урок.
  • Участники практикуют разговорную речь с первых уроков.
  • Обратная связь от преподавателя после каждого урока.
  • Преподаватели — носители языка и русскоязычные специалисты с международными сертификатами.
  • Перед обучением можно бесплатно определить уровень владения языком.

Недостатки:

  • В школе только индивидуальные занятия.

➜ Выбрать курс 

5. TopChinese

Занятия проходят на интерактивной платформе. Учебная программа разработана для повышения уровня разговорной речи. Слушатели читают и пишут иероглифы в классе, а преподаватели — носители китайского языка с лингвистическим образованием — следят за правильным порядком написания и произношением онлайн. 

Image by freepik

  • 4,3 — рейтинг школы на основе отзывов на сайте tutortop.ru
  • Цена полностью: от 799 рублей.
  • Цена в рассрочку: нет.
  • Длительность: от 4 занятий.
  • Порог входа: с нуля.
  • Формат: онлайн-занятия, практические занятия.
  • Документ об окончании: сертификат.

Курсы:

Достоинства:

  • Пробный урок для знакомства со школой.
  • Разговорная практика с первых занятий.
  • На занятиях читают книги на китайском языке и смотрят фильмы.
  • Доступны занятия в парах, в мини-группах или индивидуально.

Недостатки:

  • Не обнаружены.

➜ Выбрать курс 

6. Slovo-ed

Занятия проходят под руководством преподавателей из языковых вузов и носителей языка. Подход к обучению академический. Сначала участники изучают материал последовательно от простого к сложному. На выбор есть университетские и школьные программы.

Можно выбрать индивидуальные уроки или занятия в группе.

Image by freepik

  • 5,0 — рейтинг школы на основе отзывов на сайте yandex.ru.
  • Цена полностью: от 1837 рублей за занятие.
  • Цена в рассрочку: по запросу.
  • Длительность: от 6 месяцев.
  • Порог входа: с нуля.
  • Формат: онлайн-уроки, домашние задания, тесты.
  • Документ об окончании: сертификат.

Достоинства:

  • Можно оплатить обучение материнским капиталом и оформить налоговый вычет.
  • Бесплатный пробный урок.
  • Доступ к платформе и материалам курса навсегда.
  • Курс можно проходить с любого устройства.

Недостатки:

  • Личный наставник есть в отдельном тарифе.
  • Заморозить подписку можно платно.

➜ Выбрать курс 

7. Yes

Онлайн-курсы китайского языка для взрослых и детей от трёх лет. Обучение ведётся по коммуникативной методике в индивидуальном формате или в небольших группах до шести человек. Ученики осваивают правильную тональность произношения, учатся работать с иероглифами и получают базовые навыки письменного китайского языка. Занятия проводят выпускники российских вузов и носители языка из разных регионов Китая. 

Image by freepik

  • 5,0 — рейтинг школы на основе отзывов на сайте yandex.ru.
  • Цена полностью: от 580 рублей за урок.
  • Цена в рассрочку: нет.
  • Длительность: от одного урока.
  • Порог входа: с нуля.
  • Формат: онлайн-занятия, практические задания.
  • Документ об окончании: сертификат.

Достоинства:

  • Пробный урок в подарок.
  • Можно выбрать интенсивность и время занятий.
  • Педагоги подбирают учебные материалы для слушателей.
  • Бесплатное тестирование перед обучением.

Недостатки:

  • В отзывах отмечают длительное ожидание ответа от службы поддержки.

➜ Выбрать курс 

8. Chilan

В школе предлагают индивидуальные и групповые курсы китайского языка для разных уровней и целей. Обучают как сертифицированные педагоги, так и носители китайского языка. Chilan сотрудничает с университетами в Пекине, Харбине, Шанхае, Гуанчжоу и помогает пройти обучение за рубежом, в том числе по программам бакалавриата и магистратуры. 

Image by freepik

  • 5,0 — рейтинг школы на основе отзывов на сайте otzovik.com
  • Цена полностью: от 1900 рублей за занятие.
  • Цена в рассрочку: по запросу.
  • Длительность: от 1 занятия.
  • Порог входа: с нуля.
  • Формат: онлайн-занятия, практические задания.
  • Документ об окончании: нет.

Курсы:

Достоинства:

  • Бесплатно подберут программу обучения.
  • Обучение на интерактивной доске Limnu.
  • Преподаватели для продвинутых уровней — носители языка.
  • Обилие практики на уроках.

Недостатки:

  • Платное пробное занятие.

➜ Выбрать курс 

9. «Белый кролик»

Основной упор делается на устную коммуникацию и восприятие речи на слух. Уделяется внимание грамматике, развитию навыков письма и чтения. Для занятий понадобится компьютер, смартфон или планшет. 

В школе есть экспресс-курсы, подготовка к экзаменам, занятия по корректировке произношения. Уроки проходят в Zoom. Слушатели могут выбрать удобный график занятий.

Image by freepik

  • 5,0 — рейтинг школы на основе отзывов на сайте yandex.ru
  • Цена полностью: от 1033 рублей за занятие.
  • Цена в рассрочку: нет.
  • Длительность: от 45 минут.
  • Порог входа: с нуля.
  • Формат: индивидуальные онлайн-занятия, практические задания.
  • Документ об окончании: сертификат.

Курсы:

Достоинства:

  • Бесплатное пробное занятие.
  • Скидки при единовременной оплате.
  • Преподаватели с высшим лингвистическим или филологическим образованием.
  • Бесплатный перенос занятий за сутки до начала урока.

Недостатки:

  • Работают только русскоязычные преподаватели.

➜ Выбрать курс 

10. Skyford

Курсы китайского языка с репетитором на платформе школы, в Zoom или других сервисах, удобных студенту. Для занятий нужен компьютер, микрофон и доступ в интернет. Слушатели могут выбрать русскоговорящего преподавателя или носителя языка. Перед уроками студенты проходят бесплатный тест для определения уровня владения языком. Затем нужно выбрать курс, преподавателя и расписание. 

Image by freepik

  • 5,0 — рейтинг школы на основе отзывов на сайте yandex.ru
  • Цена полностью: от 2100 рублей.
  • Цена в рассрочку: нет.
  • Длительность: уроки от 60 минут.
  • Порог входа: с нуля.
  • Формат: индивидуальные онлайн-занятия, практические задания.
  • Документ об окончании: нет.

Курсы:

Достоинства:

  • Первый урок длительностью 30 минут с русскоговорящим учителем проводится бесплатно.
  • Много программ для разных возрастов и целей.
  • Скидки при оплате пакетами.
  • Занятия в Zoom, Google Meet, «Яндекс Телемост» или на платформе школы.

Недостатки:

  • В отзывах отмечают сложности с возвратом денежных средств.

➜ Выбрать курс 

11. Ninnel

Школа с индивидуальными онлайн-занятиями. Уроки проходят по видеосвязи в Zoom, Teams, «Яндекс Телемост», Jitsi. В программе — комплексное развитие говорения, аудирования, чтения и письма. Слушателей погружают в полноценную иноязычную среду на каждом этапе обучения. Авторы рекомендуют заниматься 2–3 раза в неделю, а продолжительность обучения зависит от целей и запросов.

Image by freepik

  • 4,6 — рейтинг школы на основе отзывов на сайте yandex.ru.
  • Цена полностью: от 980 рублей за урок.
  • Цена в рассрочку: нет.
  • Длительность: от 1 урока, урок от 45 минут.
  • Порог входа: с нуля.
  • Формат: онлайн-занятия по видеосвязи, практические задания.
  • Документ об окончании: сертификат.

Достоинства:

  • Бесплатный пробный урок.
  • Бесплатный разговорный клуб для студентов.
  • График занятий согласовывается на пробном уроке.
  • Скидки за оплату пакета занятий.

Недостатки:

  • При пропусках занятий без предупреждения деньги не возвращаются.

➜ Выбрать курс 

12. TutorOnline

Платформа для выбора репетитора по китайскому языку. Для поиска достаточно указать цель и свой возраст, далее сервис сам подберёт подходящих преподавателей. В каждой карточке указаны рейтинг педагога, стоимость занятия, опыт, количество проведённых уроков и ознакомительный текст для учеников. 

Image by freepik

  • 4,6 — рейтинг школы на основе отзывов на сайте gdekurs.ru
  • Цена полностью: от 788 рублей за урок.
  • Цена в рассрочку: по запросу.
  • Длительность: от 1 урока.
  • Порог входа: с нуля.
  • Формат: индивидуальные онлайн-уроки.
  • Документ об окончании: нет.

Достоинства:

  • Бесплатный пробный урок.
  • Бесплатно подберут репетитора, если понадобится замена.
  • У платформы есть образовательная лицензия.
  • Можно выбрать носителя языка.

Недостатки:

  • В отзывах отмечают сложности с получением справки для оформления налогового вычета.

➜ Выбрать курс 

13. «ПРОФИ»

На «ПРОФИ» можно выбрать репетитора по китайскому языку под любые цели. Достаточно описать пожелания к кандидату и свои ожидания, сервис отправит запрос педагогам, которые сами откликнутся на предложение. Пользователю останется лишь выбрать понравившегося учителя. За работу платформы платить не нужно, а о цене за урок можно договориться непосредственно с репетитором. 

Image by freepik

  • 4,8 — рейтинг школы на основе отзывов на сайте gdekurs.ru
  • Цена полностью: от 1000 рублей за урок.
  • Цена в рассрочку: нет.
  • Длительность: от 1 урока.
  • Порог входа: с нуля.
  • Формат: индивидуальные онлайн- или офлайн-уроки.
  • Документ об окончании: нет.

Достоинства:

  • Возможность договориться с репетитором лично.
  • Большой выбор преподавателей под разные цели.
  • У платформы есть внутренний рейтинг преподавателей.
  • Отзывы на педагогов проходят модерацию.

Недостатки:

  • В отзывах есть жалобы на службу поддержки платформы.

➜ Выбрать курс 

14. ILS

Программы по китайскому языку с гибким форматом и возможностью выбора между групповыми и индивидуальными занятиями, а также между онлайн- и офлайн-курсами. Слушатели могут заниматься как с русскоязычными, так и с иностранными преподавателями. В основе обучения лежит коммуникативный метод, педагоги помогают развить навыки устной речи, а особое внимание уделяется практике. 

Image by freepik

  • 4,9 — рейтинг школы на основе отзывов на сайте yandex.ru
  • Цена полностью: от 2125 рублей за занятие.
  • Цена в рассрочку: 3999 рублей в месяц на 6 месяцев.
  • Длительность: от 1 месяца.
  • Порог входа: с нуля.
  • Формат: онлайн-занятия, практические задания.
  • Документ об окончании: нет.

Достоинства:

  • Преподаватели — носители языка.
  • Программы для подготовки к международным экзаменам.
  • Познакомят с традициями и культурой Китая.
  • Бесплатное тестирование для определения уровня языка.

Недостатки:

  • В отзывах есть жалобы на однообразные занятия.

➜ Выбрать курс 

15. ЕШКО

Курс для тех, кто начинает учить язык с нуля. Студенты получают цифровые или печатные учебники и дополнительные материалы. Изучают теорию, выполняют домашние задания, которые проверяет личный преподаватель. За каждое задание слушатели получают оценки, а по результатам среднего балла допускаются к итоговому тестированию.

Image by freepik

  • 4,6 — рейтинг школы на основе отзывов на сайте gdekurs.ru
  • Цена полностью: от 1440 рублей в месяц.
  • Цена в рассрочку: нет.
  • Длительность: 20 месяцев.
  • Порог входа: с нуля.
  • Формат: цифровые учебники или печатные журналы.
  • Документ об окончании: свидетельство.

Достоинства:

  • Можно скачать пробный урок.
  • Есть ускоренный формат обучения.
  • Скидки при поступлении на помесячное обучение или при оплате всего курса.
  • Подарки при оплате полного печатного комплекта.

Недостатки:

  • Доступ к личному кабинету можно ждать три дня.

➜ Выбрать курс 

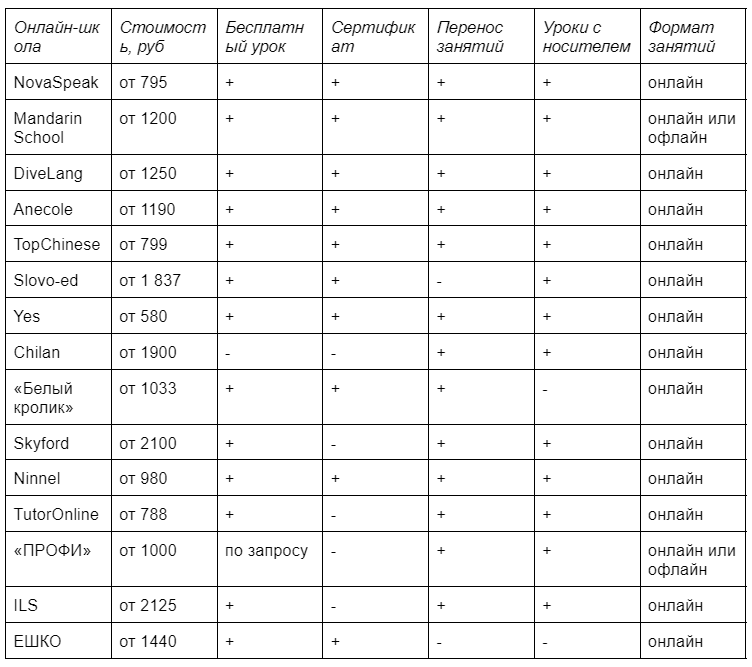
Сравнительная таблица онлайн-школ

Курсов по китайскому языку много, но не у каждой школы есть возможность пройти бесплатное занятие или перенести урок бесплатно, не у всех в штате есть носители языка, а некоторые не выдают сертификат. Для удобства выбора школы подготовили сравнительную таблицу, в которой отражены их особенности.

Онлайн-школа Стоимость Бесплатный урок Сертификат Перенос занятий Уроки с носителем Формат занятий
NovaSpeak От 795 рублей за урок Есть Есть Есть Есть Онлайн
Mandarin School От 1200 рублей за урок Есть Есть Есть Есть Онлайн или офлайн
DiveLang От 1250 рублей за урок Есть Есть Есть Есть Онлайн
Anecole От 1190 рублей за урок Есть Есть Есть Есть Онлайн
TopChinese
От 799 рублей за урок Есть Есть Есть Есть Онлайн
Slovo-ed От 1 837 рублей за урок Есть Есть Нет Есть Онлайн
Yes От 580 рублей за урок Есть Есть Есть Есть Онлайн
Chilan От 1900 рублей за урок Нет Нет Есть Есть Онлайн
«Белый кролик» От 1033 рублей за урок Есть Есть Есть Нет Онлайн
Skyford
От 2100 рублей за урок Есть Нет Есть Есть Онлайн
Ninnel От 980 рублей за урок Есть Есть Есть Есть Онлайн
TutorOnline От 788 рублей за урок Есть Нет Есть Есть Онлайн
«ПРОФИ» От 1000 рублей за урок По запросу Нет Есть Есть Онлайн или офлайн
ILS От 2125 рублей за урок Есть Нет Есть Есть Онлайн
ЕШКО От 1440 рублей за урок Есть Есть  Нет Нет Онлайн

Частые вопросы и ответы

Изучение китайского языка вызывает интерес у многих: одни стремятся говорить на нём для путешествий и общения, другие — использовать в работе и бизнесе. Но перед началом обучения у слушателей часто возникают вопросы. Ответим на самые распространённые.

С чего начать изучение китайского языка?

Начинать стоит с основ — произношения и тонов, так как от них зависит смысл слов. Затем можно переходить к базовой грамматике, иероглифам и простым фразам для повседневного общения. Программы для начинающих построены по этому же принципу, поэтому достаточно выбрать нужный курс. 

С какими трудностями можно столкнуться при изучении китайского?

Главные сложности — освоение тонов, большое количество иероглифов и отличия китайской грамматики от европейских языков. Со временем эти трудности становятся преодолимыми при регулярной практике. Многое зависит и от преподавателя, поэтому если не складывается обучение с одним педагогом, стоит попробовать заниматься с другими учителями.

Сколько нужно знать китайских слов для свободного общения?

Для повседневных разговоров достаточно около 2–3 тысяч слов. Для уверенного владения языком и чтения текстов среднего уровня нужно знать примерно 5–6 тысяч слов.

Какой уровень языка нужен для работы?

Для работы в китайской компании или с китайскими партнёрами обычно требуется уровень не ниже HSK 4, это примерно B2 по общеевропейской шкале. Уровень позволяет уверенно общаться и понимать профессиональную лексику.

Сколько учить китайский до уровня B2?

При регулярных занятиях 3–4 раза в неделю этот уровень можно достичь за 2–3 года. Темп зависит от индивидуальных особенностей, мотивации и времени, которое уделяется практике.

Что даёт сертификат об окончании онлайн-курса по китайскому языку?

Такой документ подтверждает прохождение программы и может быть полезен при устройстве на работу или в качестве доказательства квалификации при дальнейшем обучении, в том числе за рубежом.

Что делать, если я не могу посетить урок? Можно ли отменить или перенести занятие без потери оплаты?

В большинстве онлайн-школ урок можно отменить или перенести, если предупредить заранее — обычно за 12–24 часа. Конкретные условия зависят от политики школы. В школах, как правило, есть бесплатные пробные уроки, на которых можно заранее уточнить организационные нюансы. 

Проверяют ли в онлайн-школах уровень знаний перед началом выбора программ?

Да, часто проводится короткий тест или пробное занятие, чтобы определить текущий уровень знаний и подобрать подходящий курс. Но это больше касается продолжающих обучение, а не начинающих с нуля.

Можно ли проходить обучение на телефоне?

Да, большинство современных платформ адаптированы под мобильные устройства. Это позволяет смотреть уроки, выполнять задания и общаться с преподавателем через смартфон.

Если не подходит формат обучения, что делать?

Обычно можно сменить преподавателя, график или формат — перейти с индивидуальных занятий на групповые или наоборот. А в некоторых школах можно сменить онлайн-формат на офлайн. Главное — уточнить об этом у менеджера школы.

Можно ли приостановить обучение без потери оплаты?

Во многих школах предусмотрена возможность временной паузы по уважительным причинам. Если уверенности в своих силах нет, то лучше выбрать курс с помесячной оплатой или репетитора. 

Возвращают ли онлайн-школы деньги?

Некоторые школы предлагают возврат за неиспользованные занятия или в течение определённого срока после оплаты. Политика возврата прописана в договоре или на сайте школы, но, судя по отзывам, часто это сопровождается бюрократическими проволочками и не всегда происходит быстро. 

Как выбрать онлайн-школу по китайскому для изучения с нуля

Начинающим бывает сложно выбрать подходящую самую лучшую школу среди множества предложений. Ниже приведены советы, которые помогут найти платформу и начать обучение с комфортом.

1. Квалификация преподавателей.

Перед началом обучения стоит проверить сертификаты преподавателя, например, TCSOL, HSKK, а также опыт работы с начинающими. Хороший педагог умеет объяснять материал простыми словами и помогает сформировать правильное произношение с первых уроков.

2. Учебные программы и методики.

Для старта подойдёт курс, который сочетает грамматику, лексику, иероглифику и разговорную практику. Важно, чтобы занятия строились последовательно — от фонетики и базовых слов к диалогам и текстам. Во многих школах охотно рассказывают о своих программах и отправляют учебный план на почту.

3. Пробный урок.

Многие школы предлагают недорогое, а чаще бесплатное пробное занятие. Это лучший способ оценить преподавателя, платформу и подход к обучению до покупки полного курса.

4. Организационные условия.

Заранее стоит оговорить расписание, возможность переноса занятий, доступ к записям уроков и срок действия оплаченных пакетов. Гибкие условия помогут избежать стрессов и потери оплаченных занятий.

5. Отзывы студентов.

Важно познакомиться с отзывами учеников на сторонних площадках: на сайте школы публикуют, как правило, только хорошие впечатления. Если выпускники успешно сдают экзамены HSK или достигают целей, например, начинают говорить или работать с китайскими партнёрами, это хороший показатель качества.

Какую онлайн-школу китайского языка выбрать

Китайский язык изучают не только для ведения бизнеса с крупным экономическим партнёром России, но и для поступления в престижные университеты, работы в международных компаниях и путешествий по Китаю. Знание китайского поможет построить карьеру в разных сферах: от переводчика и менеджера по работе с китайскими партнёрами до специалиста по межкультурной коммуникации. Изучить китайский можно на курсах:

  1. NovaSpeak: составляют программу под цели и запросы слушателя, а на бесплатном пробном уроке дарят до девяти занятий.
  2. Mandarin Schoolобучают по программе международного китайского университета и помогают организовать обучение в Шанхае, Пекине, Аньшане и Сюйчжоу.
  3. DiveLang: занятия в мини-группах по интерактивным учебникам, есть индивидуальные занятия и самостоятельный тариф с гибким графиком и удобным темпом.

Если вы нашли в подборке неактуальную информацию или хотите, чтобы мы добавили в нее проверенный вами курс или школу, напишите в комментариях под подборкой.

1 2 3 4 тест тест тест тест



Ответить?
Введите капчу

✉️✨
Письма Коссы — лаконичная рассылка для тех, кто ценит своё время: cossa.pulse.is